| 일 | 월 | 화 | 수 | 목 | 금 | 토 |
|---|---|---|---|---|---|---|
| 1 | 2 | 3 | 4 | 5 | 6 | |
| 7 | 8 | 9 | 10 | 11 | 12 | 13 |
| 14 | 15 | 16 | 17 | 18 | 19 | 20 |
| 21 | 22 | 23 | 24 | 25 | 26 | 27 |
| 28 | 29 | 30 | 31 |
- Find the nearest clone
- 구슬탈출2
- Interview Preparation Kit
- 알고리즘
- 백준
- 머신러닝
- DFS: Connected Cell in a Grid
- 파이썬
- Reverse Shuffle Merge
- candies
- hackerrank
- 피보나치 함수
- Max Array Sum
- Recursion: Davis' Staircase
- programmers
- 격파르타 합격후기
- 매칭점수
- Roads and Libraries
- 프로그래머스
- 코딩테스트
- Common Child
- BFS: Shortest Reach in a Graph
- 해커랭크
- Algorithm
- python
- 야근지수
- 격파르타 후기
- [sqld]자격증합격
- 격파르타 장점
- Special String Again
- Today
- Total
Archive
[ML] Convolution 정리 본문
Convolution이 무엇인가요?
예전 기술면접때 convolution이 무엇인지에 대한 질문을 받은 적 있다. tensorflow, pytorch에 구현된 convolution 연산을 사용해 비전이나 NLP에 사용되는 신경망을 학습했지만, 무엇인지에 대해 물었을 때 말로 풀어서 대답하기 어려웠다. 분명 머릿속엔 그림이나 연산 과정을 떠올릴 수 있지만 어떤 의미를 가지는지, 연산 결과값이 어떻게 사용되는지 몰랐던 것 같다. 그래서 이번에 convolution에 대해 정리하고 연산이 어떠한 의미를 가지는지 정리하고자 한다.
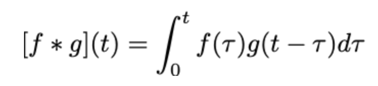
딥러닝을 하면서 convolution layer 용어를 많이 사용하기 때문에 convolution은 신경망에서 비롯된것인 줄 알았으나 실제로는 두 개의 함수가 t 시점에서 얼마나 overlap이 되었는지 계산하는 연산이었다(t에 대한 함수).

그리고 일반적으로 범위를 infinite로 해서 표기한다.

두 함수에 대한 convolution 연산은 아래 그림과 같다.


첫 번째 그림은 두 개의 boxcar function(박스 모양의 함수), 아래는 두 개의 Gaussian에 대한 convolution 연산이다. 각각의 그림에서 녹색 실선은 함수 f(빨간색), 함수 g(파란색)의 convolution 연산 결과를 의미한다. 함수 g에서 녹색 수직선은 t 시점을 의미한다. t가 변하면서 생기는 회색 영역은 $g(\tau)f(t-\tau)$값을 의미한다. 그림에서 보이듯 두 함수의 겹치는 영역이 커지면 convolution 결과 값이 커지게됨을 알 수 있다.
신경망에서 사용되는 convolution 연산도 이와 비슷하다고 볼 수 있다.
위의 그림을 보면, 입력 이미지로부터 Feature Detector(filter, kernel이라고도 불림; CNN의 학습 파라미터)로 convolution 연산을 수행해 결과로 feature map을 만들게 된다. 따라서 feature map은 feature detector의 패턴이 입력 이미지에 얼마나 잘 나타나있는지에 대한 정보를 가지게 된다. 게다가 논문에서는 convolution 연산은 spatial invariance라는 표현을 사용하는걸 자주 볼 수 있는데, filter의 패턴이 입력 이미지 어디에 있던지간 convolution 연산을 하면 feature map에 패턴 정보가 담기게 된다는 의미이다.
CNN(Convolution Neural Networks)의 구조 대부분은 convolution layer파트와 fully connected layer 파트 두 가지로 구성되어 있다. 입력 이미지로부터 filter와 convolution을 통해 filter의 패턴이 입력 이미지에 얼마나 나타나있는지에 대한 정보를 파악한 뒤, 이러한 feature를 바탕으로 fully connected layer에서 비선형 관계를 학습하는 구조가 되겠다.
[Reference]
'공부 > Machine Learning' 카테고리의 다른 글
| 유전알고리즘 시험 내용 요약 (0) | 2019.12.06 |
|---|---|
| [Learning theory] Bias variance trade-off (Hoeffding inequality) (0) | 2019.10.12 |